Skip to main content
FAQs
Complain
Problems
Search form
Search
X
9857017683, 9857017684
omsatiyamun@gmail.com
ओमसतिया गाउँपालिका
गाउँ कार्यपालिकाको कार्यालय , रुपन्देही , लुम्बिनी प्रदेश
Search form
Search
गृहपृष्ठ
परिचय
संगठनात्मक स्वरुप
जन प्रतिनिधि
कर्मचारी विवरण
पूर्व कर्मचारी
श्रोत नक्सा
वडा कार्यालयहरु
कार्यक्रम तथा परियोजना
बजेट तथा कार्यक्रम
योजना तथा परियोजना
आय व्यय विवरण
विधुतीय शुसासन सेवा
घटना दर्ता
सामाजिक सुरक्षा
नागरिक वडापत्र
नमुना फारमहरु
प्रतिवेदन
मासिक प्रगति प्रतिवेदन
चौमासिक प्रगति प्रतिवेदन
वार्षिक प्रगति प्रतिवेदन
लेखा परीक्षण प्रतिवेदन
अनुगमन प्रतिवेदन
सार्वजनिक सुनुवाई
सार्वजनिक परीक्षण
सामाजिक परिक्षण
प्रकाशन
सूचना तथा जानकारी
सार्वजनिक खरिद/बोलपत्र सूचना
ऐन कानुन निर्देशिका
कर तथा शुल्कहरु
निर्णयहरु
गाउँ सभाका निर्णयहरु
गाउँ कार्यपालिका निर्णयहरु
गाउँपालिकाका निर्णयहरु
ग्यालरी
सम्पर्क
वृत्ति मार्गनिर्देशन पोर्टल
बिषयगत शाखाहरु
कृषि शाखा
शिक्षा शाखा
स्वास्थ्य शाखा
महिला तथा बालबालिका शाखा
पशु शाखा
स्वास्थ्य प्रोफाईल
सुचना तथा समाचार
ओमसतिया गाउँपालिकाको दोस्रो आवधिक विकास योजनाको राय सुझाव संकलन सम्वन्धमा ।
व्यवसाय दर्ता , नवीकरण गर्ने तथा अधिकतम खुद्रा मूल्य राख्ने सम्बन्धी अत्यन्त जरुरी सूचना
सतर्कताको लागि अनुरोध
मिति २०८२/०१/१५ गतेको कार्यपालिका बैठकको निर्णय
सार्वजनिक सडक, पेटि तथा सार्वजनिक जग्गा खाली गर्ने सम्वन्धि सूचना !!!
विद्धुतिय बोलपत्र स्वीकृत गर्ने सम्वन्धि ७ दिने आसयपत्र
विद्धुतिय बोलपत्र स्वीकृत गर्ने सम्वन्धि ७ दिने आसयपत्र
विद्धुतिय बोलपत्र स्वीकृत गर्ने सम्वन्धि ७ दिने आसयपत्र
सार्वजनिक जग्गा खाली गर्ने सम्वन्धि सूचना !!!
कृषि इलेक्ट्रिक स्प्रेयर माग सम्बन्धि ७ दिने सुचना
ठेक्का न. SQ/ORM/WORKS/09/082-83 को E-Bidding सम्बन्धि सुचना
ठेक्का न. SQ/ORM/WORKS/08/2082-83 को विधुतीय बोलपत्र स्वीकृत गर्ने आसयको ७ दिने सूचना !
एम्वुलेन्स चालकको करार छनौट सम्वन्धि सूचना !!
तेस्रो चौमासिक आयव्यय
आवश्यक सतर्कता अपनाउने सम्बन्धी सुचना
You are here
Home
» ठेक्का न. SQ/ORM/WORK/04/082-83 को E-Bidding सम्बन्धि सुचना
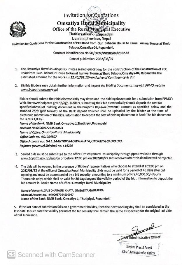
ठेक्का न. SQ/ORM/WORK/04/082-83 को E-Bidding सम्बन्धि सुचना
Submitted on:
Sun, 11/23/2025 - 13:59
प्रकार:
सार्वजनिक खरीद / बोलपत्र सूचना
आर्थिक वर्ष:
८२/८३
Facebook
//